¿Cómo aprender potencias para la PAES M1 y M2?
¿Preparándote para la PAES? Domina potencias sin errores, organiza con DEMRE y potencia tus ensayos con un preuniversitario que sube tu puntaje.
Aprende potencias para la PAES de M1 y M2
Si te estás preparando para la PAES, sabes que los detalles importan. Un ejemplo sencillo puede marcar la diferencia entre un resultado correcto y una pérdida de puntos innecesaria. En Matemática, dominar las propiedades de potencias es clave para avanzar con seguridad y sube tu puntaje en la prueba de admisión. 😊
Un ejercicio real y el error que cuesta puntos
Imagina el siguiente desafío de EM1: representar (4 · 125) elevado a 3 como producto de potencias de base 2 y 5. La idea es usar las propiedades de potencias en el orden correcto. Parece simple, pero un paso mal aplicado puede confundir. 💪
Así se razona paso a paso
- Paso 1: reescribe 4 y 125 con bases 2 y 5. 4 = 2² y 125 = 5³. Entonces: (2² · 5³)³.
- Paso 2: aplica la propiedad (ab)ⁿ = aⁿ · bⁿ. Queda: (2²)³ · (5³)³.
- Paso 3: aplica potencia de una potencia: aᵐⁿ = a^(m·n). Resultado final: 2^(2·3) · 5^(3·3) = 2⁶ · 5⁹.
El error común ocurre en el paso 3. Se olvida multiplicar los exponentes o se mezclan propiedades. En el ejemplo del reel, la respuesta correcta es que el error está en el Paso 3. La propiedad “potencia de una potencia” exige multiplicar exponentes. 🙌
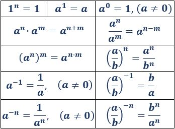
Propiedades que debes tener claras
- Producto de potencias de igual base: aᵐ · aⁿ = a^(m + n).
- Potencia de una potencia: (aᵐ)ⁿ = a^(m · n).
- Potencia de un producto: (ab)ⁿ = aⁿ · bⁿ.
- Potencia de un cociente: (a/b)ⁿ = aⁿ / bⁿ, con b ≠ 0.

Son reglas simples, pero en la PAES M1 o M2 el tiempo apremia. Tenerlas integradas evita dudas y te permite avanzar sin frenar. Practica hasta que salgan automáticas. 🚀
Por qué esto importa en la PAES
La PAES evalúa competencias. En Matemática, se busca que apliques propiedades con criterio y rapidez. No es solo memorizar. Es reconocer cuándo usar cada regla y validar que tu operación tiene sentido. Esa fluidez suma minutos y confianza. 👌
Además, muchos ítems incluyen distractores que apelan a errores comunes. En este caso, confundir “producto de potencias de igual base” con “potencia de una potencia”. Si conoces la diferencia, evitas trampas y mantienes tu prueba de admisión bajo control. 😊
Estrategias prácticas para estudiar potencias y evitar errores
- Haz tarjetas con propiedades y ejemplos cortos, y repásalas a diario.
- Resuelve 10 ejercicios cronometrados al día de EM1 y EM2 con enfoque en potencia de potencias y productos.
- Varía formatos: opción múltiple, desarrollo y correcciones de errores “tipo DEMRE”.
- En tus ensayos, marca los ítems donde dudaste. Luego, clasifícalos por tema.
- Explícale a alguien el paso a paso. Enseñar fija el razonamiento.
La práctica deliberada salva puntos. Y al simular tiempos reales, entrenas resistencia y decisión. 💪
Ensayos, ritmo y manejo del estrés
Entrenar con ensayos completos es vital. Mide tu progreso, ajusta tu ritmo y modela la presión del día real. Un plan con sesiones de 90 minutos, pausas breves y revisión enfocada suele funcionar muy bien. 🙌
- Ensayo 1: diagnóstico inicial. Define tus brechas.
- Ensayos 2 a 4: foco en debilidades, con revisión guiada.
- Ensayo 5: simulación en horario real. Ajusta tu estrategia de tiempo.
- Ensayo 6+: mantén el ritmo. Repite formatos y comprueba mejoras.
Incluye técnicas de respiración y pausas activas. Manejo del estrés también es preparación. 😊
Datos clave: DEMRE, FUAS, puntaje de corte y planificación
- DEMRE: organiza la PAES, publica temarios, fechas, sedes y resultados. Revisa su sitio para documentos oficiales.
- FUAS: formulario para becas y créditos. Postula en las fechas indicadas. Prepara con anticipación tus antecedentes.
- Puntaje de corte: es el puntaje del último matriculado en una carrera y universidad. Cambia cada año. Revisa los cortes del proceso anterior y define metas realistas.
- Planificación: traza un rango objetivo. Ejemplo: “si el corte histórico ronda X, apunto a X + 30”. Eso te da margen y tranquilidad.
- Verificación: contrasta información en el sitio de cada universidad y en el portal oficial de admisión.
Usa esta información para priorizar. A veces, sumar 2 o 3 preguntas correctas por bloque te eleva a tu objetivo. Sube tu puntaje paso a paso. 🎉
Cómo te puede ayudar un preuniversitario
Un buen preu combina contenidos claros, práctica enfocada y seguimiento. En modalidad online o presencial, busca que incluya clases en vivo, diagnósticos personalizados, ensayos y apoyo en manejo del estrés. Eso te permite entrenar tanto la técnica como la confianza. 🧡
Si apuntas a carreras exigentes, considera rutas específicas. Por ejemplo, un plan tipo Pack Medicina potencia M1, M2 y Ciencias, con simulaciones de alta dificultad. Si buscas una preparación equilibrada, un Pack Completo ordena el estudio integral. Para énfasis en Lenguaje e Historia, un Pack Humanista puede ser más eficiente. Elige según tu perfil y tus metas. 🙌
Ejercicios de entrenamiento inspirados en el caso
- Transforma (8 · 25)² a producto de potencias de base 2 y 5. Respuesta esperada: 2⁶ · 5⁴.
- Escribe 16 · 125 como 2ᵃ · 5ᵇ y calcula (16 · 125)^(1/2). Revisa raíces y potencias.
- Compara: 2³ · 2⁵ versus (2³)⁵. Explica por qué el primer caso suma exponentes y el segundo los multiplica.
- Detecta el error: (3² · 5)³ = 3⁵ · 5³. ¿Qué faltó? Indica la propiedad correcta.
Procura escribir el fundamento detrás de cada paso. No solo el resultado. Eso solidifica tu razonamiento para la PAES. 💪
Checklist rápido antes de cada ensayo
- Repasé propiedades clave y tengo mis fórmulas a mano.
- Definí estrategia de tiempo por bloque.
- Voy a marcar dudas y volver al final con cabeza fría.
- Registraré errores frecuentes para atacarlos en la semana.
Pequeños hábitos te mueven de la frustración al progreso. La constancia paga. 🚀
Cierre: piensa en grande, avanza en pasos pequeños
Dominar ejercicios como el de EM1 no es un fin en sí mismo. Es un entrenamiento mental que se refleja en tu desempeño global. Con contenido claro, práctica estratégica y apoyo adecuado, tu objetivo está al alcance. Sube tu puntaje, ordénate con DEMRE y FUAS, y potencia tu postulación a la carrera que sueñas. 😊
Si buscas una guía integral con clases en vivo, diagnósticos personalizados, ensayos completos y foco en manejo del estrés, explora lo que ofrece Preu Filadd. Empieza a prepararte a tiempo, afianza tus bases en potencias y álgebra, y construye día a día la confianza que necesitas para ingresar a la universidad de tus sueños. ¡Tu preparación comienza hoy! 🙌
Comments ()